發布于:2019/11/14 9:31:39 點擊量:58
1 引言
過程控制儀表主要包括變送器、調節器和執行器及多種輔助控制儀表和裝置,閥門定位器是調節閥(最常見的執行器)的主要附件,用于提高和改善調節閥的性能。近年,來自調節閥市場的消息大多與調節閥本身無關,而與定位器的先進性有關,西門子、費希爾-羅斯蒙特等國外大公司,相繼研制成功了智能型兩線制,或配有HART總線、FF總線等現場總線接口的智能型閥門定位器[1]。本文詳細介紹了一種通過改變智能型閥門定位器的性能特性來改變調節閥靜態特性的方法。

2 定位器的基本原理
要理解閥門定位器在一個過程控制系統中所扮演的角色,參看圖1。圖中r為被調量的設定值;y為被調量;y為被調量的測量值;u為調節器的輸出信號(與執行器即調節閥的開度成一定的關系);f為定位器的輸出信號;c為閥門位置信號。定位器在此系統中的主要作用就是將從調節器來的調節信號(4~20mA或3~15psi)與從執行器來的閥門位置信號相比較,判斷它們是否與預期的關系相匹配,如果相匹配,則定位器將使執行器維持在此位置,否則將使執行器動作直至兩信號相匹配。此外定位器的主要作用還包括改變閥的作用方式、靜態特性、實現分程控制等。

3 調節閥的靜態特性
調節閥的靜態特性可以表示為[2]
式(1)可改寫成下面形式:
式中:

dL/Lmax--閥桿相對位移;
du/umax--控制信號的相對變化;
dQ/Qmax--流量的相對變化。
[pages]
K1表示閥行程與到閥控制信號之間的關系,K2表示通過調節閥的物料流量與閥行程之間的關系,即調節閥的結構特性(又稱固有流量特性),一旦閥已選定它就不能再改變了。調節閥的結構特性,即
,如圖2所示主要有線性、對數、拋物線和快開等,用數學式表達為:
(1)線性特性(曲線1)
(2)等百分比(對數)特性(曲線2)
(3)快開特性(曲線3)

(4)拋物線特性(曲線4)

式中R為調節閥的可調比,即

4 改變調節閥靜態特性的方法
在沒安裝定位器的情況下,K1為一常數即閥行程與到閥控制信號成線性關系,此時調節閥的靜態特性即為其結構特性,無法改變;如果安裝了定位器,則K1即為定位器的性能特性。對于機械力平衡式定位器來說可以通過更換反饋凸輪來加以改變,而對于智能型定位器由于預先進行了程序設置,因此只需要通過功能鍵進行選擇就可以任意改變K1,從而改變調節閥的靜態特性。當現有調節閥的流量特性符合需要時,只需將定位器特性設置為線性。
否則將根據需要和現有閥的流量特性進行選擇。例如若現有閥的結構特性為直線特性,所需的流量特性為對數特性,即:
將式(3)左式代入上式,得:
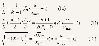
將式(3)右式代入,積分后代入邊界條件(u=umin;I=0,u=umax,I=L),得:
其中
,式(9)表示所需的定位器的性能特性,即閥門相對開度
與相對控制信號
的關系,如圖3中的曲線D。同理,若所需流量特性為直線、快開和拋物線,則分別將式(1-8)中等式右邊改為
,并將式(3)右式代入,積分后代入邊界條件分別得到:

其曲線分別如圖3中的曲線A、B和C所示。在代入邊界條件時必須注意在整個過程控制系統中所需的定位器與調節閥的總體增益的正負。當所需的總體增益為負時,相應的邊界條件應為u=umin;I=0,u=umax,I=L。
其他各種情況也可以按照此步驟代入相應條件得出相應的關系式,在此就不再一一推導。
5 結論
通過安裝智能型定位器來改變調節閥的流量特性使得企業能充分利用現有資源來適應多變的市場需求,且調整方便,易于維護,具有較高的經濟效益。
參考文獻
[1] 解懷仁.智能型電氣閥門定位器[J].化工自動化及儀表,1995,2:51-55.
[2] 翁維勤,等.過程控制系統及工程[M].北京:化學工業出版社,1996,8.
本文鏈接:http://m.xinyong029.com/news/detail/20191114093139.html
版權所有 © 自力式壓力調節閥-氣動調節閥-電動調節閥-氮封閥廠家 浙ICP備18052799號-2